緊急情報
ここから本文です。
更新日:2023年4月13日

|
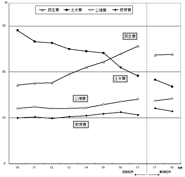
款 |
平成 |
平成 |
平成 |
平成 |
平成 |
平成 |
平成 |
平成 |
平成 |
平成 |
|---|---|---|---|---|---|---|---|---|---|---|
|
議会費 |
0.52 |
0.52 |
0.50 |
0.51 |
0.52 |
0.50 |
0.51 |
0.52 |
0.63 |
0.48 |
|
総務費 |
9.24 |
9.51 |
9.69 |
9.25 |
9.31 |
9.97 |
10.32 |
9.40 |
10.05 |
11.59 |
|
民生費 |
17.11 |
17.54 |
17.63 |
19.54 |
21.01 |
22.18 |
23.96 |
25.63 |
23.66 |
23.84 |
|
衛生費 |
8.67 |
8.24 |
9.44 |
9.36 |
8.36 |
8.47 |
9.30 |
10.76 |
10.64 |
10.11 |
|
労働費 |
0.34 |
0.31 |
0.32 |
0.31 |
0.30 |
0.29 |
0.27 |
0.19 |
0.22 |
0.16 |
|
農林水産業費 |
2.74 |
2.72 |
2.51 |
2.54 |
2.51 |
2.58 |
2.46 |
2.32 |
3.71 |
3.69 |
|
商工費 |
3.60 |
5.05 |
4.93 |
4.50 |
4.28 |
1.52 |
1.03 |
1.33 |
1.39 |
2.14 |
|
土木費 |
29.03 |
26.60 |
26.30 |
24.97 |
24.50 |
24.12 |
20.94 |
19.14 |
18.30 |
16.79 |
|
消防費 |
4.18 |
4.32 |
4.21 |
4.18 |
4.10 |
4.14 |
4.26 |
4.14 |
4.30 |
4.31 |
|
教育費 |
9.99 |
10.20 |
9.89 |
10.26 |
10.47 |
10.89 |
11.23 |
10.62 |
12.07 |
11.41 |
|
公債費 |
12.05 |
12.39 |
12.02 |
12.06 |
12.17 |
12.92 |
13.53 |
14.07 |
13.71 |
14.19 |
|
その他 |
2.53 |
2.60 |
2.56 |
2.52 |
2.47 |
2.42 |
2.19 |
1.88 |
1.32 |
1.29 |
|
計 |
100.00 |
100.00 |
100.00 |
100.00 |
100.00 |
100.00 |
100.00 |
100.00 |
100.00 |
100.00 |
|
新旧区分 |
旧浜松市 |
新浜松市 |
||||||||
土木費の対前年比1.51ポイント低下の要因は、投資的経費の減約7億円によるもの。また、民生費前年比0.18ポイント上昇の要因は、扶助費の増約9億円によるもの。
※平成16年度は、減税補てん債借換え分119億3,970万円を除く。
お問い合わせ
より良いウェブサイトにするためにみなさまのご意見をお聞かせください